jenis rangkaian listrik di mana komponen-komponennya dihubungkan secara berurutan (ujung ke ujung) dalam satu jalur tunggal, sehingga arus listrik mengalir melalui setiap komponen secara berurutan
Rumus Rangkaian Seri
Definisi Rangkaian Paralel
susunan komponen listrik yang dihubungkan secara berjajar dengan banyak cabang, sehingga arus listrik terbagi
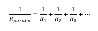
Rumus Rangkaian Paralel
Definisi Rangkaian Campuran
gabungan dari rangkaian seri dan paralel, di mana sebagian komponen dihubungkan secara seri dan sebagian lagi secara paralel